作者 | 刘立维 博士/副教授 
       华中农业大学水产学院鳜鱼研究中心
来源 | 腾氏水产商务网
 
内容提要:维持鱼类机体营养需求和代谢的营养素包括蛋白质、碳水化合物、脂,三者合称为产生能量的三大营养素,在给鱼类提供能量中占有重要的比例。饲料中糖脂通过物质转化和能量代谢作用起到节约蛋白质的作用,不仅有利于鱼体生长,还有助于降低养殖过程排氨量。鳜鱼作为典型肉食性鱼类,目前主要以活饵料鱼喂养为主,饲料养殖占比5%以内,为推进鳜鱼饲料养殖,叠加其糖脂代谢较为特殊,本文将介绍鳜鱼饲料糖脂代谢与合适糖脂比研究,为鳜鱼配合饲料生产和健康养殖提供参考。
 
维持鱼类机体营养需求和代谢的营养素包括蛋白质、碳水化合物、脂,三者合称为产生能量的三大营养素,在给鱼类提供能量中占有重要的比例。糖类(carbohydrate)是多羟基酮、多羟基醛以及能水解成多羟基酮或多羟基醛的有机化合物,由碳、氢、氧元素构成,是自然界中广泛分布的一类重要的有机化合物。
糖类是所有生命体维持自身活动所需能量的主要来源,在生物体的生命活动中起着重要作用,其中植物中的多糖为淀粉和纤维素,动物的多糖主要为糖原。单糖是多羟基醛或酮类化合物,糖类中结构较简单的一类,其无法水解成更小的碳水化合物,简单的单糖一般为含3到7个碳原子的多羟基醛或多羟基酮,如丙糖(甘油醛)、戊糖,五碳糖(核糖,脱氧核糖)、己糖(葡萄糖,果糖)。多糖为糖类的还原端和脂质或蛋白质结合的产物。在生物中广泛存在,具有多种重要功能,细胞的识别、免疫以及定性等均与之有关。糖类与蛋白质结合以蛋白质为主的称为糖蛋白,血液中的大部分蛋白为糖蛋白。
 
糖类与脂质结合(如存在于细菌的外膜的脂多糖)成分以多糖为主的称为糖脂。糖原分布于动物肝脏和肌肉组织中,是动物体能量贮备物质,根据机体需要随时可分解释放能量。
脂类是包括类脂、油脂。类脂包括磷脂、固醇类,油脂在食物中存在的主要形式主要是油、脂肪,一般情况下油是指常温下的液体,脂肪则在常温下成固态。同时,脂类构成了组成鱼类组织的细胞,如细胞的部分中细胞膜、神经髓鞘。脂肪酸在动物的脂肪中以不饱和的形式出现的概率比较小,植物油与之不同,则比较多。某些高度不饱和脂肪酸为鱼类保持基本生长、发育、健康所不可或缺的,但鱼自身无法合成合成,或产生量无法提供需求,一定要通过饲料直接满足。
此外,适宜的脂肪可减少蛋白质的分解供能,节约饲料蛋白质用量,提高饲料蛋白质利用率鱼类对脂肪有较强的利用能力,其用于鱼体增重和分解供能的总利用率可达90%以上,这一作用称为脂肪的节约蛋白质作用。因此,饲料中糖脂通过物质转化和能量代谢作用起到节约蛋白质的作用,不仅有利于鱼体生长还有利于养殖过程降低排氨量。
鳜鱼作为典型肉食性鱼类,目前主要以活饵料鱼喂养为主,饲料养殖占比5%以内,为推进鳜鱼饲料养殖,叠加其糖脂代谢较为特殊,本文将介绍鳜鱼饲料糖脂代谢与合适糖脂比研究,为鳜鱼配合饲料生产和健康养殖提供参考。
一、鳜鱼合适淀粉需求研究及高糖饲料对鳜鱼营养代谢的影响
先前的研究表明,肉食性鱼类饮食中碳水化合物的较佳含量低于20%(Kamalam et al 2017),这可能归因于缺乏抑制糖异生的调控机制(Li et al 2019),肝脏中葡萄糖与葡萄糖6磷酸酯之间的无效循环形式(Boonanuntanasarn et al 2018),诱导脂肪生成的能力低。在杂交石斑鱼的研究中,随着饮食碳水化合物的增加,全身脂质先急剧增加,然后略有下降,但糖原异生途径相关酶的活性均显着增加(Li et al 2019),这也可能诱发高血糖症。
目前,每种食肉鱼类对碳水化合物的代谢反应差异如此之大的原因尚不明确,将来可以通过收集更多有关其他食肉鱼类中糖脂代谢的数据进行总结。鳜鱼(Siniperca chuatsi)是一种典型的食肉鱼类,也是重要的经济养殖鱼类之一(Liang et al 2001)。鳜鱼生长迅速,在野外终身以活饵为食(Liang et al 2001)。目前,经过多年的选育,鳜鱼可以稳定地以商业饲料为食(Alam et al 2019)。因此,有必要确定鳜鱼的营养需求(如碳水化合物),以尽快改善饲料配方。因此,本研究旨在探讨鳜鱼的合适饮食碳水化合物水平,以及鳜鱼对不同饮食淀粉水平的代谢反应。
1、生长表现和饲料利用率
饲粮不同碳水化合物水平下,评估鳜鱼的生长性能和饲料利用情况。试验4周后,饲粮碳水化合物水平为2.4%~16.5%时,日增重(DWG)和蛋白质沉积率(PER)显著升高,饲粮碳水化合物水平为16.5% ~ 30.1%时,蛋白质沉积率(PER)显著降低,而饲料系数(FCR)则完全相反。30.1%-碳水化合物饲粮组DFI很低,2.4%-碳水化合物饲粮组HSI很低。试验8周后,饲粮SGR与饲粮碳水化合物水平的二次曲线方程为y = -0.0016x2 + 0.0352 2x + 1.292 (R2 = 0.9991)(图1),饲粮较佳碳水化合物水平为10.93%时SGR达到很大值。DWG以9.7%-碳水化合物饲粮组很高。DWG在饲料碳水化合物水平为2.4% ~ 9.7%时显著升高,在饲料碳水化合物水平为9.7% ~ 30.1%时显著降低。FCR表现出与DWG完全相反的趋势。
此外,DFI在饲粮碳水化合物水平为2.4%至16.5%时变化不显著,但在饲粮碳水化合物水平为16.5%至30.1%时显著下降。PER在饲粮碳水化合物水平为2.4%~16.5%时显著升高,在饲粮碳水化合物水平为16.5%~30.1%时显著降低。随着饲料碳水化合物从2.4%增加到30.1%,HSI显著增加。饲粮碳水化合物水平为16.5%和23.9%的鱼的VSI显著高于饲粮碳水化合物水平为2.4%的鱼。DWG、DFI和VSI也被发现与喂食时间有关。与饲喂4周的鱼相比,30.1%-碳水化合物饲料饲喂8周的鱼DWG和DFI显著降低,16.5%和30.1%-碳水化合物饲料饲喂8周的鱼VSI均显著提高。

图1 鳜鱼生长与饲料糖含量的关系
 
2.鱼体营养成分和组织组成
喂试验4周后,饲粮碳水化合物水平为16.5% ~ 30.1%的鱼的肝脏粗脂肪含量和肝糖原含量显著高于饲粮碳水化合物水平为2.4%的鱼。30.1%碳水化合物饲粮组肝脏粗蛋白质含量较低。试验8周后,16.5%-碳水化合物饲粮组的全鱼粗脂肪含量很高。饲粮碳水化合物水平为16.5% ~ 30.1%时,肝脏粗脂肪含量显著高于饲粮碳水化合物水平为9.7%和16.5%时,肌肉粗脂肪含量显著高于饲粮碳水化合物水平为2.4%时。与2.4%-碳水化合物饲粮组相比,16.5%和30.1% -碳水化合物饲粮组的全鱼和肝脏粗蛋白质含量均显著降低。30.1%-碳水化合物饲粮组肌肉粗蛋白质含量较低。
肌糖原和肝糖原含量随饲料碳水化合物含量从2.4%增加到30.1%而显著增加。粗脂肪含量和糖原含量也与饲养时间有关。与饲喂4周的鱼相比,饲喂16.5%-碳水化合物饲粮的鱼的全鱼粗脂肪量为8周,饲喂碳水化合物水平为16.5%和30.1%饲粮的鱼的肝脏粗脂肪量为8周,饲料碳水化合物水平为9.7% ~ 30.1%,饲喂8周后鱼的肌糖原和肝糖原含量均显著增加后,饲粮碳水化合物水平为16.5% ~ 30.1%的鱼的肝脏粗脂肪含量和肝糖原含量显著高于饲粮碳水化合物水平为2.4%的鱼。30.1%-碳水化合物饲粮组肝脏粗蛋白质含量较低。
试验8周后,16.5%-碳水化合物饲粮组的全鱼粗脂肪含量很高。饲粮碳水化合物水平为16.5% ~ 30.1%时,肝脏粗脂肪含量显著高于饲粮碳水化合物水平为9.7%和16.5%时,肌肉粗脂肪含量显著高于饲粮碳水化合物水平为2.4%时。与2.4%-碳水化合物饲粮组相比,16.5%和30.1% -碳水化合物饲粮组的全鱼和肝脏粗蛋白质含量均显著降低。30.1%-碳水化合物饲粮组肌肉粗蛋白质含量较低。肌糖原和肝糖原含量随饲料碳水化合物含量从2.4%增加到30.1%而显著增加。粗脂肪含量和糖原含量也与饲养时间有关。
与饲喂4周的鱼相比,饲喂16.5%-碳水化合物饲粮的鱼的全鱼粗脂肪量为8周,饲喂碳水化合物水平为16.5%和30.1%饲粮的鱼的肝脏粗脂肪量为8周,饲料碳水化合物水平为9.7% ~ 30.1%,饲喂8周后鱼的肌糖原和肝糖原含量均显著增加。
3、血浆指标分析
试验4周后,饲粮碳水化合物水平为23.9% ~ 30.1%的鱼的葡萄糖含量、9.7%和16.5%的鱼的胰岛素含量均显著高于饲粮碳水化合物水平为2.4%的鱼。TP和GLB含量在9.7%-碳水化合物饲粮组很高。试验8周后,饲粮碳水化合物水平为16.5% ~ 30.1%的鱼的葡萄糖含量显著高于饲粮碳水化合物水平为2.4%的鱼。9.7%-碳水化合物饲粮组胰岛素、TG、HDL、TP、ALB和GLB含量较高。此外,饲粮碳水化合物水平为9.7%和16.5%的鱼的TC和LDL显著高于饲粮碳水化合物水平为2.4%的鱼。TG、LDL、HDL、TP、ALB和GLB的水平也被发现与喂食时间有关。随着喂食时间的推移,上述血浆指数均呈下降趋势。
4、组织学分析
四周喂养试验后,肝脏脂滴的相对面积在膳食碳水化合物含量从16.5%到30.1%组明显高于2.4%碳水化合物组(图2 A、B)。上述同样的现象在8周后观察到鱼喂养试验(图2 A、B)。与此同时, 饲喂饲料碳水化合物水平为16.5% ~ 30.1% ,8周鱼的脂滴相对面积也显著高于饲喂相同饲料连续饲喂4周的鱼(图2A、B)。饲粮碳水化合物水平为23.9%和30.1%(8周)的鱼的细胞核数量显著低于饲粮碳水化合物水平为2.4% (8周)和饲粮碳水化合物水平为23.9%和30.1%(4周)的鱼(图2A, C)。

图2 鳜鱼肝脏切片图
 
5、参与糖脂代谢的基因的转录水平
进行了与肝脏中与糖脂代谢相关的基因表达的qPCR。经过为期4周的饲喂试验,与2.4%碳水化合物组相比, 9.7%至30.1%碳水化合物组pk的mRNA水平,9.7%至16.5%碳水化合物组cs的mRNA水平,碳水化合物23.9%至30.1%组g6pca的mRNA水平以及碳水化合物16.5%至30.1%组中accα的mRNA水平均显着增加。
在为期8周的喂养试验后,与2.4%碳水化合物组相比,23.9%至30.1%碳水化合物组的gk和pk的mRNA水平,9.7%至30.1%碳水化合物组的pfk和cs的mRNA水平,16.5%至23.9%组g6pca的mRNA水平以及16.5%至30.1%组的pc和accα的mRNA水平均显着增加。还发现上述基因的表达依赖于进食时间。与喂食4周的鱼相比,喂食8周后,摄食碳水化合物含量为23.9%至30.1%的鱼的gk和cs的表达,摄食含量为16.5%至30.1%的鱼中pfk和pc的表达,摄食16.5%碳水化合物的鱼的g6pca的表达以及摄食30.1%碳水化合物的鱼accα的表达均显着增加。
6、氧化应激参数分析
在为期4周的喂养试验后,在30.1%的碳水化合物饮食中观察到很低的SOD水平和很高的MDA水平。在为期8周的喂养试验后,在30.1%的碳水化合物饮食组中观察到了很低的CAT水平。此外,饲喂日粮碳水化合物23.9%和30.1%的鱼的SOD水平显着低于饲喂2.4%碳水化合物的鱼,但是MDA与SOD呈现完全相反的趋势。
7、结论
根据生长性能,适合鳜鱼的膳食碳水化合物为10.93%,高膳食碳水化合物会降低生长性能和饲料利用率,但会促进肝糖原和肝粗脂质的积累。合适饮食中的碳水化合物可以促进有氧氧化,从而将一部分碳水化合物转化为能量以促进生长,而剩余的碳水化合物可以转化为糖原进行储存,以维持葡萄糖稳态而不是合成脂质。肝TG含量高的代谢产物的糖原异生失控和无效的向外转运可能是鳜鱼对葡萄糖不耐受的原因。同时,富含碳水化合物的饮食可能会对鱼的抗氧化能力和免疫力产生有害影响。
二、鳜鱼合适脂肪需求研究
饲料中的脂肪可以为鱼类提供能量物质和必需脂肪酸 (EFA),用以满足大多数养殖鱼类的快速生长和对脂质的需求。在一定范围内,随着鱼类摄入的脂肪水平的提高,饲料利用也相应提高 (Peres and Oliva-Teles 1999),并以某种方式阻止鱼类消耗蛋白质产生能量 (Beamish and Medland 1986),尤以肉食性鱼类为甚。然而,高脂饮食增加了鱼体内脂肪沉积,引起代谢疾病,如脂肪肝综合征 (Santos et al 1993),氧化状态异常 (Du et al 2006) 以及肉质的改变等 (Peres and Oliva-Teles 1999)。尽管不同鱼类对外源脂肪的吸收能力不同,但是自然选择赋予了鱼类在丰富食物脂肪的情况下能够在不同器官中储存脂质的能力,另一方面,它可以加速脂质的调动以提供能量。通常,随着饮食中脂肪摄入的增加,鱼体的脂质含量也逐渐增加 (Peres and Oliva-Teles 1999, Marins et al 2007)。
值得注意的是,脂肪沉积的优先部位在鱼类中存在特定的方式,几种鱼类优先在肠系膜和内脏中储存脂质 (主要是TG),例如草鱼 (Ctenopharyngodon idella) (Du et al 2006, Li et al 2016) 和尼罗罗非鱼 (Oreochromis niloticus) (He et al 2015),而大西洋鲑 (Salmo salar) 则更喜欢将脂质存储在肌肉中而不是肝脏中 (Hemre and Sandnes 2015)。选择性策略可能有助于降低肝脏中脂肪沉积的潜在风险。此外,肝脂质的稳态可能取决于肝线粒体和过氧化物酶体的氧化能力。因为肝脏线粒体氧化的激活可以通过肉碱棕榈酰转移酶I (CPT1) 加速游离脂肪酸 (FFA) 的降解,然后释放三磷酸腺苷 (ATP),从而通过三羧酸 (TCA) 循环提供能量 (Morash et al 2009)。
持续的高脂摄入很容易破坏生物体内脂质稳态,并持续诱发甘油三酯的积累(Du et al 2013)。在哺乳动物模型中,高脂饲料喂养的动物通常不仅会在白色脂肪组织 (WAT) 中储存脂质,而白色脂肪组织是一种主要由脂肪细胞组成的特定脂质沉积器官,而且还会在其他部位 (例如肝脏,骨骼肌和胰岛β细胞),肾脏中储存脂肪 (Unger 2003)。在某些硬骨鱼的研究中,例如白鲈鱼 (Atractoscion nobilis) (López et al 2009),日本鲈鱼 (Lateolabrax japonicus) (Xu et al 2011) 及黑线鳕 (Melanogrammus aeglefinus L) (Nanton et al 2001),高脂摄入后甘油三酯主要沉积在肝脏部位。其他部位中的脂质沉积可能通过促进其脂质的摄取并提高其合成,减少其氧化分解 (Savage et al 2007)。当生物体摄入过多的脂肪时,肝脏在脂质运输,脂质分解代谢 (主要是脂解和脂肪酸β氧化),脂肪生成甚至脂质沉积中均起着至关重要的作用 (Jocken et al 2007)。实际上,血液中大量循环的游离脂肪酸可以通过脂肪形成吸收到肝脏进行酯化,然后以甘油三酯形式重新包装,末了由 (极低密度脂蛋白,VLDL) 传递到肝外组织中 (Chen et al 2014)。
与其他经济淡水鱼相比,鳜鱼需要更多的蛋白质来满足其生长,并且饲料蛋白质的需求量高达46%。因此,如何利用脂质减少蛋白质的消耗是鳜鱼养殖中的一个值得关注的问题。另一方面,饲料中脂肪过多也会引起脂肪变性,肝炎和脂肪肝综合症,进而对其生长和健康产生不利影响。因此,基于鳜鱼健康养殖及营养需求,探究脂质代谢和沉积的内在机制亟待解决。 
1、不同饲料脂肪浓度对鳜鱼生长性能的影响
为确定鳜鱼合适脂肪需求及鳜鱼对高脂低脂饲料的适应策略,分别配置脂肪梯度为2%,7%,12%及17%的4组饲料,命名L2,L7,L12及L17。经过5周的饲喂实验后,从L2到L12组,摄食量 (FI) 没有显著差异,但FW,WG,SGR和蛋白质保留 (PR) 逐渐提高。与L12组相比,L17组所有上述指标均显著降低。
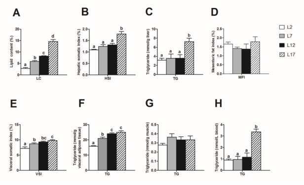
2、不同饲料脂肪浓度对鳜鱼脂质沉积部位的影响
饲料脂肪从2%增加到17%过程中,鳜鱼体内的脂质含量 (LC) 随之逐渐升高 (图3-A)。肌肉中的MFI和TG含量在四组中均无显著差异 (图3-D和G)。与L2组相比,L7和L12组的内脏脂肪组织中的VSI和TG含量均显著增加 (图3-E和F)。L2,L7和L12组的肝脏和血清中的HSI和TG含量均无显著性差异 (图3-B,C和H)。与L12组相比,L17组的肝脏和血清中的HSI和TG含量均显著升高,而内脏脂肪组织中的VSI和TG含量则稳定。


图3 
投喂不同浓度脂肪饲料的鳜鱼不同组织的脂质沉积。(A) 全鱼粗脂肪含量; (B) 肝体比;(C) 肝脏甘油三酯含量;(D) 肠系膜脂肪指数;(E) 脏体比;(F) 内脏脂肪组织甘油三酯含量;(G) 肌肉甘油三酯含量;(H) 血液甘油三酯含量。
3、饲料脂肪水平对血清指标的影响
不同饲料脂肪水平饲喂的鳜鱼血清指标,从L2组到L12组血清GLU逐渐升高,而在L17组中,血清GLU急剧降低。与其他组相比,L17组的血清CHO,LDL和HDL明显升高。
4、饲料脂肪水平对肝脏组织切片的影响
油红色O染色证实,L2,L7和L12组之间的脂滴数量没有明显差异,但在L17组中急剧增加。H&E染色显示,肝细胞从L2组到L12组逐渐出现小的液泡,但在L17组中,液泡急剧增大,然后将细胞核挤压到边缘。通过油红O染色中脂滴的定量面积以及H&E染色中细胞核的数量进一步证实了这些结果。L17组中脂滴的相对面积显著大于其他组,另一方面,仅L17组中细胞核的数量下降了。这意味着肝细胞遭受了由甘油三酯浸润诱导的病理反应。此外,与其他组相比,L17组的血液中AST酶活性显著提高。
5、不同饲料脂肪浓度对鳜鱼糖脂代谢的影响
通过实时定量PCR分析了一些鳜鱼肝脏中脂质和葡萄糖代谢相关的相关基因表达。脂蛋白脂肪酶 (lpl) 和肝脂肪酶 (hl) 的相对mRNA水平是肝脏中甘油三酯水解和脂肪酸转运的关键调节剂,从L2组到L17组逐渐升高。L7和L12组的两种主要限速酶肉碱棕榈酰转移酶I (cpt1) 和柠檬酸合酶 (cs) 的相对mRNA水平分别在L7和L12组显著升高 (P≤0.05)。在L12和L17组之间。在L7和L12组中,脂肪生成基因 (srebp1,acc1及fas) 的表达均显著下调,然后,在L17组显著上调。仅在L17组中观察到了甘油三酯转运的关键调节因子Apo-脂蛋白E (apoe) 的表达显著增加。大量糖原合成相关基因 (pc,pepck及g6p) 在L7和L12均显著升高,但在L17组却显著下降。
三、饲料高不饱和脂肪酸作用的研究
由于鱼油产量紧张且价格随之飞涨,植物油替代鱼油是水产业大势所趋。已有研究表明,在水产养殖中植物油可以部分甚至全部替代鱼油而不影响鱼类生长 (Bell et al 2001, Turchini et al 2009)。但由于植物油缺乏LC-PUFA,长期替代鱼油会使鱼体脂肪酸组成受到影响。使用大豆油替代鱼油饲喂墨累河鳕鱼 (Maccullochella peelii peelii) 会降低其鱼肉中n-3 HUFA含量并造成亚油酸的大量累积,且这种累积并不能通过富含鱼油的饲料恢复投喂来缓解 (Turchini et al 2007)。
棕榈油具有丰富的饱和脂肪酸,关于棕榈油替代鱼油的研究已在大西洋鲑 (Bell et al 2001)、虹鳟 (Fonseca-Madrigal et al 2015)、鲶 (Ng et al 2000) 和攀鲈 (Oommen 2000) 上进行,研究表明适当棕榈油替代鱼油对鱼类生长没有明显抑制作用。但在大西洋鲑的研究中发现,棕榈油会降低其鱼肉中LC-PUFA含量,但通过短期鱼油饲料的恢复投喂可以缓解这种影响 (Bell et al 2001)。此外,相比较大豆油造成的鱼肉中亚油酸的累积,棕榈油替代鱼油可以有效缓解这一情况 (Ng et al 2007)。
以鳜鱼为研究对象, 探讨棕榈油替代鱼油对鳜鱼生长、血清生化、脂肪生成及高不饱和脂肪酸合成的影响,研究鳜鱼对植物油替代鱼油的代谢调控机制,以确定鳜鱼饲料中使用棕榈油替代鱼油的可行性,进一步完善了鳜鱼营养需求数据,优化了饲料配方,对促进人工饲料养殖鳜鱼的发展具有重大意义。
1、饲料中棕榈油替代鱼油对鳜鱼生长性能的影响
用不同棕榈油浓度的饲料饲喂鳜鱼2周及4周后,检测各处理组鳜鱼的生长性能,结果见表4-5。终体重,SGR及VSI在2周时各处理组间无显著性差异。而HSI结果在FPO组及FO组的鳜鱼显著低于PO组,IPF的结果在FPO组鳜鱼显著高于PO组,FPO组及FO组肠体比显著高于PO组 (P≤0.05)。
4周养殖周期结束后,终体重、SGR,HSI,IPF在3个处理组间均未发生显著性变化。与FPO组比较,FO组鳜鱼VSI明显增加,而与PO组比较,FO组VI明显减少 (P≤0.05)。
2、饲料中棕榈油替代鱼油对鳜鱼体成分的影响
用不同棕榈油浓度的饲料饲喂鳜鱼2周及4周后,检测各处理组鳜鱼全鱼及肌肉的体成分,结果见表4-6。2周养殖周期结束时,全鱼的水分,CP及CL在3组间均未发生显著性变化。与PO组比较,FO组肌肉中水分显著降低,而粗蛋白显著升高 (P≤0.05)。4周养殖周期结束后,全鱼及肌肉的体成分在3个处理组间均无明显差异。
3、饲料中棕榈油替代鱼油对鳜鱼血清生化指标的影响
用不同棕榈油浓度的饲料饲喂鳜鱼2周及4周后,检测各处理组鳜鱼血清生化指标。2周养殖周期结束时,GLU,TG,LDL-L,AST及ALT在3组间均未发生明显改变。FO组血清中总胆固醇显著高于其他两组,而FO组血清中高密度脂蛋白显著高于其他两组 (P≤0.05)。FO组血清中总蛋白与白蛋白均显著高于PO组和FPO组,而FPO组显著高于PO组。而PO组血清碱性磷酸酶显著高于FO组。4周养殖周期结束时,GLU,CHO,TG,TP,LDL-L,ALP,AST及ALT在3组间均未发生明显改变。PO组血清中白蛋白显著高于FO组。而FO组鳜鱼HDL-L在3组间很高,而FPO组显著多于PO组 (P≤0.05)。
4、饲料中棕榈油替代鱼油对鳜鱼脂代谢相关基因表达的影响
用不同棕榈油浓度的饲料饲喂鳜鱼2周及4周后,检测各处理组鳜鱼脂代谢相关基因表达,结果见图4。pparα的相对表达量在2WFPO组显著高于2WPO组 (P≤0.05),但4WFO组,4WFPO组及4WPO组间无显著性差异 (P>0.05);且2WFPO组表达量显著高于4WFPO组。
srebp1的相对表达量在2WFO组显著低于2WFPO组及2WPO组,但4WFO组,4WFPO组及4WPO组间无显著性差异;且2WFO组显著高于4WFO组,2WFPO组显著高于4WFPO组,2WPO组显著高于4WPO组。fabp1的相对表达量在2WFPO组显著高于2WFO组及2WPO组,而4WFPO组显著高于4WFO组,4WPO组显著高于其余两组;且2WFO组显著低于4WFO组,2WFPO组显著高于4WFPO组,2WPO组显著低于4WPO组。elovl的相对表达量在2WFO组,2WFPO组及2WPO组间无显著性差异,在4WFPO组显著低于4WFO组,而4WPO组显著高于其余两组;而2WFPO组显著低于4WFPO组,2WPO组显著高于4WPO组。
 
 
图4 
投喂不同浓度棕榈油饲料的鳜鱼肝脏中脂代谢相关基因的表达量。结果采用平均数±标准误(n=6)的方式来标注,标有不同字母表示饲喂不同浓度棕榈油饲料的鳜鱼的结果有显著性差异,标有*号表示饲喂相同浓度棕榈油饲料的鳜鱼在2周及4周的结果有显著性差异(P < 0.05)。
四、鳜鱼饲料中合适糖脂比研究
饲料糖脂比的交互作用可能会影响鱼类生长发育,糖脂代谢,摄食量及食欲基因的表达,不同糖脂比对鱼类糖脂代谢及其对食欲影响的研究并不多见,值得我们特别注意。目前鳜鱼饲料中蛋白含量极高,因此改变饲料中碳水化合物和脂肪水平,来提高鳜鱼对蛋白质的利用率,降低饲料中鱼粉含量,从而降低饲料成本,对集约化养殖具有重大的意义。事实上,目前关于糖脂比对鳜鱼摄食和代谢的研究相对空白。本研究旨在探究饲料中不同糖脂比水平对鳜鱼幼鱼生长性能,体成分,肝脏糖脂代谢,肝脏组织形态学以及食欲水平的影响。本研究结果可能有助于对今后高效配合饲料开发提供基础。
1、生长性能和饲料利用率
投喂 D3饲料鳜鱼的FBW、WGR 和 SGR 很高(P < 0.05)。饲喂D3鳜鱼的PER 显着高于饲喂其他饲料的鱼。FI 受饲料 CHO:L 比率的显着影响,D3 喂鱼显着高于 D1、D2、D4 组。D1组HSI和VSI显着高于其他组。D4、D5组IPR显着高于D1、D2、D3组。FCR 表现出与 WGR 中观察到的相反的趋势,喂鱼 D3 组的水平很低。基于 WGR 的折线回归分析,得出鳜鱼适合生长的饲料 CHO:L 比为 1.60,分别对应于 15.38% 的无氮提取物和 8.97% 的粗脂质,即D3组。
2、组织中的营养组成和糖原含量
随着饲料 CHO:L 比例的增加,全身脂质含量呈下降趋势。各处理间肌肉水分、粗蛋白和粗脂质含量均无显着差异。饲料CHO:L比显着影响鲈鱼肝脏粗蛋白和脂质含量(P < 0.05)。饲喂D3的鱼肝脏粗脂肪含量低于其他组,显着低于D1和D4组。肌糖原和肝糖原随着 CHO:L 比值水平的增加而呈增加趋势。D5组肌糖原含量很高,明显高于D1、D2和D3组。
3、血清生化指标
TP 和 ALB 受饲料 CHO:L 比值的影响显着,在 D3 各组中很低,显着低于 D1、D2 和 D4。在饲喂 CHO:L 比率很低的饲料的鱼中发现了很高浓度的 TCHO 和 TG。AST和ALT活性均随饲料CHO:L比例升高而升高,呈先降低后升高的趋势,在D3组很低。随着饲料 CHO:L 比例的增加,血清 HDLC 含量显着降低。相反,LDLC不受饲料CHO:L比的显着影响。
4、肝脏脂质代谢相关基因的相对表达
肝脏中srebp1和fas的表达随饲料CHO的增加呈先降低后升高的趋势:L 比率。且肝脏中srebp1和fas的表达在D3组很低,显着低于其他组(P < 0.05)。与D1组相比,其他各组肝脏中accα的表达明显降低,差异无统计学意义。D3和D5组肝脏中cpt-1的表达水平显着高于D1组。
5、下丘脑食欲相关基因的相对表达
食欲调节相关基因见图3和图4。与D1组相比,D2和D3组npy的表达显着增加(P < 0.05)。agrp的表达随饲料CHO:L比值的升高而升高,呈先升高后降低的趋势。npy和agrp的表达水平以D3组较高,显着高于其他组。随着饲料 CHO:L 比例的增加,cart 表达较 D1 组显着降低。D2和D3组pomc的表达显着低于其他组。
6、肝切片组织学分析及肝细胞炎症测定
图 5 显示了饲喂不同 CHO:L 比例饲料的鳜鱼肝组织的油红 O 染色和 H&E 染色。油红O染色证实D2和D4组红点(脂滴)数量无明显差异,但D1和D5组显着增加。D3 组的脂滴数量很少(图 5A)。H&E染色证实,除D3组外,其他治疗组肝细胞出现较多不同数量的小空泡,肝细胞核被挤压至边缘(图6B)。这意味着肝细胞有不同程度的病理反应。

图5
饲喂不同 CHO:L 比例饲料的鳜鱼肝组织的油红 O 染色和 H&E 染色
7、结论
综上所述,通过折线回归分析,推荐鳜鱼饲料中合适糖脂比为1.71。饲料中糖脂比影响了鳜鱼的生长摄食,血清抗氧化指标和体内糖原的积累。此外,饲料中适当的糖脂比上调或下调了肝脏脂代谢基因的表达,减少了肝脏脂肪沉积。适当的糖脂比影响了下丘脑食欲基因的转录水平,从而提高摄食量。本研究结果将为鳜鱼饲料配方优化提供参考。
免责声明:本文在于传播更多的信息,并不代表本网观点。本文不保证其内容的准确性、可靠性和有效性,本版文章的原创性以及文中陈述文字和内容并未经过本站证实,对本文以及其中全部或者部分内容、文字的真实性、完整性,数据的准确性本站不作任何保证或承诺,请读者仅作参考,并请自行核实相关内容。